φ, λ, h) 2. 지구타원체
2.1. 측지기준
- 지형공간정보를 획득하기 위하여 실제 지구의 형상을 수학적으로 단순화시켜 기준좌표계를 설정
- 1979년도 IUGG에서 GRS80을 기준타원체로 발표.
2.2. 지구타원체
- 지오이드는 지구 내부를 구성하는 밀도분포에 따라 약간의 기복이 있음 (지오이드 = 등포텐셜면)
- 수학적으로 단순한 지구의 형상이 필요
- 지오이드 형상에 가까운 타원체
- 회전타원체의 크기는 자오선호장 또는 중력 측정에 의하여 결정되는 타원체의 장반경(a)과 편평률(f)로 정하여짐 (ellipsoidal parameter)

- 전체 지구 지오이드 형상에 가장 가까운 타원체 - 범지구타원체(WGS84, GRS80)
- 지역적 지오이드 형상에 가장 가까운 타원체 - 지역기준타원체(Bellel, Clarke, Hayford)

2.3. 위치의 기준
- 지오이드는 기복이 있으므로 평면위치를 나타내는 기준면으로 부적합
- 전체 지오이드에 부합되고 수학적으로 단순하게 표현 가능한 지구타원체를 수평위치의 기준으로 함
- 높이의 기준은 지오이드(평균해수면) 사용

2.4. 우리나라 기준타원체
- 지구상 평면위치의 기준은 지구의 형상에 가장 가깝고 단순한 수학적 면인 지구타원체 사용
- 지구타원체는 장반경(a)과 편평률(f)로 정의
- 지구타원체의 극축(z)은 지구회전축과 평행이어야 함.
지구의 자전축 계산은 프랑스의 IERS(International Earth Rotation Service)에서 계산한 좌표계
ITRF(International Terrestial Reference Frame)2000 을 사용한다. → IERS + ITRF2000 = GRS80 - 평면위치의 기준이 되기 위해서는 지구타원체의 고정 위치 필요
- 통일된 하나의 타원체로 전지구를 포괄하는 것은 무리
- 한 나라 또는 하나의 측지망에 원점(datum origin)을 설정하고 타원체에 지구를 접합 시킴 - 기준타원체
- 우리나라의 기준 타원체는 동경원점 기준의 Bessel(1841)타원체였고(일제시대),
- 2003년 부터는 세계측지계(GRS80 타원체) 병용, 2010년부터 세계측지계 전면 사용
- GPS는 미국방성에 자체적으로 개발한 WGS84 타원체 사용
3. 좌표계
3.1. 위치의 기준
- 지상에 위치한 지형지물의 위치 정보를 다른 사람에게 전달하기 위해서는 몇 가지 조건이 필요함
- 위치 기준 정보 + 거리,방향 정보 = 위치정보
- 좌표계란, 각종 지형지물의 위치를 정의하기 위한 기준입니다. 좌표계를 기준을 위치를 정의하고 위치 정보를 생성할 수 있습니다.
- 예를 들어 평면 위치를 정의하기 위한 좌표계는 원점과, 원점으로부터 지형지물까지의 방향을 정의할 수 있는 좌표축, 거리르 정의할 수 있는 좌표축 상에서의 거리 단위(축척) 등으로 구성된다.
3.2. 2차원 위치의 표현 방법
- 평면위치의 정의를 위해 일반적으로 사용하는 좌표계에는 2차원 직각좌표계와 2차원 극좌표계가 있음.
- 원점으로부터의 수평 및 수직 거리를 통하여 위치를 정의하거나 원점으로부터의 거리 및 방향으로 위치를 정의함.

3.3. 3차원 위치의 표현 방법
- 3차원 공간에서의 위치 정의를 위해 일반적으로 사용하는 좌표계에는 3차원 직각좌표계와 3차원 극좌표계가 있음
- 원점으로부터의 3차원 공간 상에서의 공간 상에서의 연직거리를 이용하여 위치를 정의하거나, 원점의 직선거리와 두 개의 방향각을 이용하여 위치를 정의함.

3.4. 측지좌표계(경위도, 지도좌표계)
- 지구상의 대부분의 물체의 위치를 정의하기 위해 전 지구적으로 사용하기 위하여 정의된 좌표계.
- 3차원 극좌표계의 개념에 지구타원체의 개념을 함께 사용한 타원체 좌표계를 사용함.
- 측지좌표계는 다음과 같이 구성됨
- 원점 : 지구를 타원체로 가정하며, 타원체의 중심을 원점으로 함
- Z축 : 원점에서 지구 회전축 방향
- X축 : 원점에서 기준자오선과 적도면이 만나는 지점을 향하는 방향
- Y축 : Z축과 X축에 직교하는 방향
- 측지좌표계에서의 위치정의는 다음과 같음
- 경도 : 기준 자오선으로 부터 동서방향 회전각을 의미함
- 위도 : 적도를 기준으로 남북방향의 회전각을 의미함
- 타원체고 : 타원체면으로부터의 연직 높이를 높이값으로 사용함

3.5. 지심좌표(Geocentric Coordinate) (= ECEF: Earth Centered Earth Fixed)
- 타원체 중심 또는 지구 질량 중심을 좌표계의 원점으로 하여 X, Y, Z 및 지오이드로부터의 높이 H로 표시
(X, Y, Z)

3.6. 측지좌표(Geographic Coordinate)
- 그리니치를 지나는 자오선과 적도면으로부터의 각거리로써 경도, 위도 및 지오이드로부터의 높이 H로 표시
( φ, λ, h)

- (X, Y, Z) ↔ (φ, λ, h)
서로 변환이 가능해야 한다.
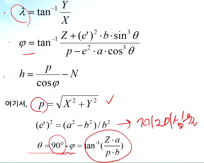
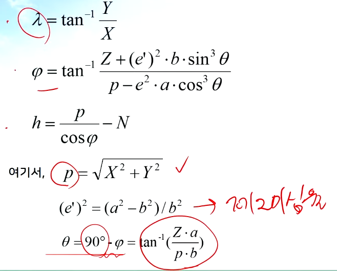
3.7.측지좌표(φ, λ, h) → 지심좌표(X, Y, Z)로 변환
X = (N + h)·cosφ·cosλ
Y = (N + h)·cosφ·sin λ
Z = {N·(1-e^2) + h}·sin φ

a = 6378139m (GRS80)

3.8. 지심좌표(X, Y, Z) → 측지좌표 (φ, λ, h)로 변환

4. 지도 투영
4.1. 지도 투영(Map Projection)
- 일반적으로 접하게 되는 지도상의 지형지물은 2차원 직각좌표계 좌표로 위치정보를 가지고 있음. 이러한 좌표들은 3차원 공간좌표인 측지좌표를 투영(Map Projection)이라는 수학적인 방법을 통하여 2차원으로 변환함을 통하여 계산된 것임.
- 투영의 개념을 쉽게 표현하면 아래의 그림과 같음.

- 곡면상의 경위도 좌표를 평면을 변환하는 방법을 투영이라고 함
- 투영 작업시의 두 가지 기본 과정
- 실제 크기의 지구를 알맞은 크기로 축소시키는 작업(축척의 변환) → scale
- 곡면상의 좌표를 평면으로 변환시 발생하는 비틀림(왜곡)을 규칙적으로 변환시키는 작업 → 정확도 만족
4.2.속성에 따른 투영 방법
- 등적 투영
- 지구상에서의 모든 지역간의 면적관계가 지도에서도 그대로 유지되도록 한 투영법
(지역간의 어떤 현상들의 밀도(인구, 식생 등)를 나타내거나 면적의 관계가 중요한 지도에 많이 사용)
- 지구상에서의 모든 지역간의 면적관계가 지도에서도 그대로 유지되도록 한 투영법

- 등거리 투영
- 지구상에서와 같은 거리관계를 지도상에서도 그대로 유지되도록 한 투영법
(비행기 항법을 위한 항공로나 상권의 범위 등과 같이 지도상의 거리와 실제 거리가 일정한 비율로 유지하여야 하는 분야에 적용)
- 지구상에서와 같은 거리관계를 지도상에서도 그대로 유지되도록 한 투영법

- 등각 투영
- 지도상의 경도선과 위도선의 교차각도가 지구본 상에서와 같이 유지되는 투영법으로 모양이 지구본에서의 모양과 닮은꼴임
(국가 및 대륙의 지도 및 해도나 기상도 등에 많이 사용)
- 지도상의 경도선과 위도선의 교차각도가 지구본 상에서와 같이 유지되는 투영법으로 모양이 지구본에서의 모양과 닮은꼴임

4.3. TM투영(Transverse Mercator) (90도 돌려서 투영하기)
- 가우스상사이중투영법(Gauss conformal double projection)
- 회전타원체면에서 구면에, 그리고 다시 구면에서 평면에 투영을 하는 것으로서, 우리나라 삼각측량의 계산에 사용되었고 과거 국가기준 삼각점의 평면직각좌표는 이 투영법에 의한 좌표였으며 이를 기준한 지적도도 이 투영법임.
- 가우스-크뤼거투영법(Guass-Kruger projection)
- 가우스-크뤼거투영법에 의한 좌표는 좌표원점을 포함하는 자오타원면에 대하여 직각으로 원통을 씌워, 그 원통에 지표면을 투영하여 이를 평면으로 절개한 좌표임. 이 좌표는 우리나라의 국가기본도 등의 대 · 중 축척 지형도에 사용되고 있음
4.4. UTM 투영 (Universal Transverse Mercator 투영)
- 만국측지좌표라고도 한다.
- 경도 : 180˚기준, 6˚간격으로 60등분(1~60 zone)
- 위도 : 80˚S부터 84˚N 까지, 8˚간격으로 20등분(c~x zone, 숫자와 헷갈릴 수 있는 I와 O는 제외)
- 동서방향(횡방향)으로 50만 m를 가산하며, 남북방향(종방향)에서는 남반구에서만 100만 m를 가산한다.
- 중앙자오선의 축척계수는 0.9996

원점의 축척계수가 1.00일 때
이렇게 하면 양쪽에 오차(왜곡)이 발생하는 부분이 많이 때문에

축척계수가 0.9996일 때
왜곡을 줄인다.
- 우리나라는 51, 52 종대, S, T 횡대에 위치하고 있어, 51S, 51T, 52S, 52T의 4구연(Zone)으로 나타낸다.


4.5. 한국의 UTM 좌표계 구역
- UTM 좌표계는 지구 전체의 경도를 6도 간격으로 60개 구역으로 분할하고,
그 중앙자오선과 적도가 만나는 점을 원점으로 선택 - 중앙자오선상의 축척계수를 0.9996으로 정함
- 원점 가산값은 X(N)=0m, Y(E)=500,000m를 사용
- 남반구는 X(S)=10,000,000m, Y(E)=500,000m를 사용


- 비틀림 현상을 최소화 하기 위해 4개의 가상 원점 사용
- 음수 방지를 위해 원점에 X방향(남북)에 600,000m, Y방향(동서)에 200,000m를 가산함
(원점 축척계수 1.0000) ← 우리나라는 2˚씩 펼치기 때문에 0.9996으로 하지 않아도 됨

4.6. 위도와 경도의 길이
- 경도간의 간격은 위도가 커질수록 작아짐
- 위도간의 간격은 위도에 따라 조금씩 차이가 있지만 중위도 지역에서 위도간의 평면거리는 다음과 같음


5. WGS84 좌표계
- WGS84 좌표계는 원래 WGS72를 대체하고 GPS 시스템의 기준계로 사용하기 위하여 정의
- 미 국방성 DMA(현재는 National Imagery and Mapping Agency, NIMA로 개칭)에서 1987년 1월 1일부터 운용하고 있는 기준계
- 이 좌표계는 지구중심좌표계에 의해 좌표축과 방향, 원점이 정의
- GPS 지상관제국 측점에 대해서는 1994.0 epoch(관측시기)에 GPS 관측이 이루어졌고 이를 토대로 ITRF91 좌표계에 의한 성과를 재계산하여 곧바로 GPS정밀력(precise ephemeris)운용에 활용
- 원래 WGS84와는 ITRF와 연관된 좌표계로서 WGS84(G730)가 1994년 1월부터 적용되기 시작, 1996년 9월에는 ITRF와 연동시켜 지각변동을 고려하고 다시 개량이 이루어졌는데 ITRF94와의 비교결과가 10cm 이내 수준에 있다고 발표 (WGS84(G873))
- 결과적으로 "WGS84 기준계는 ITRF좌표계와 수 cm 수준에서 접합되고 있다."는 것이 증명
- 그 차이는 상대측위(측량, 항법 등)를 위주로 하는 민간분야의 이용에는 무시될 수 있는 크기
- 그러므로 현재의 GPS활용에서는 대부분 WGS84와 ITRF가 서로 같은 것으로 최급
6. ITRF 좌표계
- 1991년에 IAG(International Association of Geodesy)에서는 GPS 귀도추적국의 관리와 정밀력 산정, 그리고 지상관측점의 좌표결정을 위하여 IGS(International GPS Service for Geodynamics)를 설치하기로 결정
- 위성추적국(측점)의 좌표는 VLBI, LLR, SLR, GPS(1991년 이후), DORIS(1994년이후)관측의 조합에 의해 해석하고 ITRS(International Terrestrial Reference System)기준계에 근거하여 매년 그 결과 발표
- 이 결과가 바로 지구기준좌표계(ITRF: International Terrestrial Reference Frame) 또는 ITRF기준계로 알려지고 있음
- ITRF좌표는 ITRF88, 89, 90, 91, 92, 93, 94 및 최초의 ITRF96이 발표되었고, 상호간의 cm 수준으로 변환할 수 있도록 변환요소를 제공
- ITRF는 지구의 운동을 고려하는 좌표계이기 때문임
- 현재 우리나라는 ITF2000 좌표계를 기준좌표계로 사용 중
'GIS' 카테고리의 다른 글
| [GIS] 개발관련 GIS 기초공부(11) - GPS와 좌표계(1) (0) | 2023.12.04 |
|---|---|
| [GIS] 개발관련 GIS 기초공부(10) - NGIS (0) | 2023.12.01 |
| [GIS] 개발관련 GIS 기초공부(9) - 자료의 분석(공간분석) (0) | 2023.12.01 |
| [GIS] 개발관련 GIS 기초공부(8) - 정보의 추출(지형모델링, 보간, 수치모델) (0) | 2023.12.01 |
| [GIS] 개발관련 GIS 기초공부(7) - 정보의 흐름 (0) | 2023.12.01 |